为了实现“双碳”目标,可以优化生产设备及工艺流程、开发高效能源技术从而提高能源利用率;其次优化能源结构,通过发展氢能、核能等新能源及再生能源;上述两种方式都可以减缓CO2的排放。但是在当前能源结构改变不大的前提下,想要实现大量的CO2减排,最便捷和高效的方式就是从化石燃料利用中分离CO2,并将其碳捕集利用与封存技术即二氧化碳捕集利用与存储技术(CCUS)。

二氧化碳捕集利用与存储技术(CCUS)在减少碳排放、平衡CO2浓度、实现更高经济效益方面发挥着重要作用。捕集CO2的方案主要有吸附法、膜分离法、吸收法等三种方法(见图1b)。其中固体吸附法通过吸附质与吸附剂表面形成弱的范德华力(物理吸附)或强的共价键(化学吸附),如二氧化碳分子被吸附到固体吸附剂的表面。固相吸附法具有众多吸附剂如分子筛、金属有机框架、活性炭等,同时应用变压吸附、变温吸附等单一或组合方案对CO2有效的分离;最重要的,固体吸附所需的设备实现自动化成本低,且运行费用低,得到高纯产品气。因此,固体吸附法在CCUS技术中发挥重要的作用。
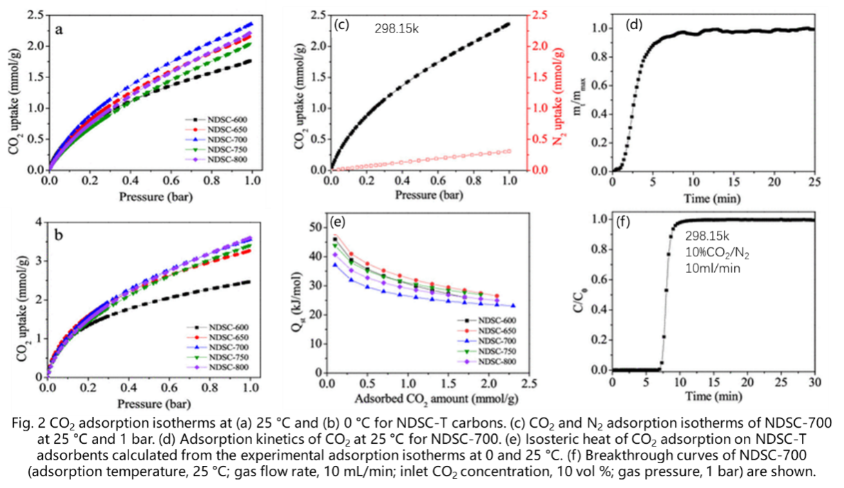
常用固体吸附剂如活性炭。对合成的活性炭材料表征常压条件下,零度及常温CO2吸附性能。如图2a、b、c所示,NDSC-800材料的微孔孔体积大,吸附量高;但是NDSC-700的常压吸附量是最高的,不仅微孔总孔体积大,而且含硫量高;证明窄微孔和S含量的组合决定CO2吸附性能。从常温热重分析(见图2d),CO2吸收的动力学分为两个阶段,在7分钟内达到90%平衡吸附容量,其主要由多孔样品裸孔和空位活性位点;当达到饱和吸附后,材料表面的吸附位点减少,吸附量几乎不变;基于动力学结果,吸附过程在短时间内有效地从烟气中去除了CO2分子。此外,计算NDSC-T样品在0和25°C下的单气体吸附等温线计算了等温吸附热,在接近零负载时,Qst值在37–48 kJ/mol的范围内,当吸附CO2后总体Qst值为23–48 kJ/mol;证明多孔样品和CO2分子之间的相互作用主要是物理吸附过程。更重要的是,研究了NDSC-700活性炭在实际工况下即常温常压、10%CO2/N2混气条件下,动态选择性吸附行为。从穿透曲线分析(见图2f),CO2吸附为S型曲线,穿透时间为6min;经过计算,实际工况下的吸附量达到0.72mmol/g。

实验方法:静态容量法N2物理吸附、动态法竞争性吸附行为
实验目的:材料比表面积、孔体积、孔径分布表征;吸附分离效率及选择性测试
实验仪器:JW-BK300C(制造商:北京精微高博仪器有限公司)
JW-MIX 100(制造商:北京精微高博仪器有限公司)
实验背景:
通常在常压区(<1bar),吸附依靠范德华力,微孔孔壁间距相近,导致其孔内部势能显著增强,对CO2分子相互作用力增加;并且CO2分子动力学直径为0.33nm,微孔孔径尤其是0.4nm-0.9nm孔是CO2动力学直径的2-3倍,在表面形成单层至三层吸附,增加吸附量。因此,丰富的微孔孔径分布(孔体积占比高) 更加有利于常压吸附。而对于高压区(>1bar),吸附仍然是依靠范德华力相互作用力,但在高压下,加速了CO2分子的扩散速率至材料的表面及大孔覆盖,因此,吸附剂的总比表面积越大、介孔孔分布越丰富、总孔体积越高,将更加有利于高压吸附。对于研发中的固体吸附剂,最终目的是应用到实际工况下,需要了解小于15%CO2/N2混气工况下的动态吸附过程至关重要,尤其需要研究有效吸附量、选择性、吸附过程中的传质动力学行为(传质扩散系数)。
首先通过低温氮吸附法(77K)测量多孔碳材料(固体吸附剂)的比表面积、孔体积、孔径分布研究其结构性能; 其次测量吸附剂分别对于单组分CO2、N2在常压下的饱和吸附量;最后通过测定穿透曲线,研究材料在实际工况下即常温常压、5%CO2/N2混气条件下得到多组分的有效吸附量以及选择性;更重要的是通过色谱法和零长柱法,分析得到了吸附质气体在固相吸附剂中的传质扩散系数,即宏观角度测试吸附质在轴向的扩散系数,微观角度径向内扩散系数
结果与讨论:
采用液氮温度表征多孔碳材料的结构信息,从N2吸脱附曲线(见图3a),1号、2号材料在p/p0小于0.1时,吸附量陡增,属于I型等温线,说明其含有丰富的微孔;当p/p0介于0.5-1之间出现H4型滞后环。此外,根据BET方程,相较于1号材料, 2号多孔碳的比表面积(1189m2/g)大,T图法计算微孔比表面积接近总比表面积,也证明其含有大量的微孔。从孔径分布(见图3b、c)分析,两种材料均含有极微孔与超微孔,2号多孔碳的最可几孔径小于1号;经过计算微孔体积占比,虽然2种多孔碳微孔体积占总孔体积都在90%左右,但2号多孔碳微孔体积比1号材料大25%。

进一步探究在常温下常压下多孔碳材料对于CO2、N2吸附行为。从图4a得到,2号多孔碳CO2的吸附量为4.35mmol/g高于1号材料,如前所述,在常压区(<1bar),吸附依靠范德华力相互作用力,丰富的微孔孔径分布(孔体积占比高) 更加有利于常压吸附。而对于N2吸附,两种材料均表现出远低于CO2的吸附性能,在常压时仅有0.5mmol/g的吸附量。因此,两种多孔碳均可以对CO2、N2进行吸附分离。根据理想溶液吸附理论计算含有5%CO2时的选择性,2号碳材料达到35,大于1号材料的选择性,证明了2号多孔碳更高效的常压吸附CO2性能。

研究了两种多孔活性炭在实际工况下即常温常压、5%CO2/N2混气条件下动态选择性吸附行为。如图5所示,两种多孔碳穿透曲线具有相同的趋势,首先N2在短时间内达到饱和吸附,随着吸附进行,由于CO2的吸附占比吸附位,已经吸附N2发生解析,导致其浓度大于1,其属于弱组分;其次,CO2吸附曲线呈S型,同时穿透点时间在50s左右,远比N2吸附时间长,属于强组分;证明在混气条件下,可以将CO2有效的分离。进一步分析可以发现,相较于1号材料,2号材料的穿透点滞后,且在动态条件下,2号材料的CO2吸附量为0.75mmol/g,计算的实际选择性分离系数为35,大于1号材料。
